人类活动已逐渐成为影响地球系统的主要因素。然而,以往研究多聚焦于人类活动对生态环境的破坏及其影响,如复活节岛的生态危机、黄土高原的森林砍伐、土壤侵蚀等,却较少关注历史上人类为保护和恢复生态环境所采取的积极措施。事实上中国古代早已具备一定的环保意识。春秋时期,已有关于合理开发资源的理念提出;战国时期,秦国颁布的《田律》是世界上第一部涉及环境保护法规,明确规定在生长季节禁止狩猎和砍伐,以保护幼小动植物;汉代楼兰古城也曾立法保护树木,治理因过度开发导致的土地退化。不过,受限于封建时代资源匮乏,这些环保法规未能长期坚持、有效落实,因而影响力有限。直到20世纪80年代,中国启动大规模森林保护与恢复计划,包括北方地区的植树造林及退耕还林还草,这些措施对全球绿化和“碳中和”做出了重要贡献。尽管如此,历史时期人类在植被与环境保护方面的实际行动及成效,仍有待进一步探究。本研究通过分析中国北方农牧交错带囫囵淖尔湖沉积岩心中的花粉与地球化学元素,结合历史文献,探讨了过去2000年来人类活动、植被演变与土壤侵蚀之间的相互关系。

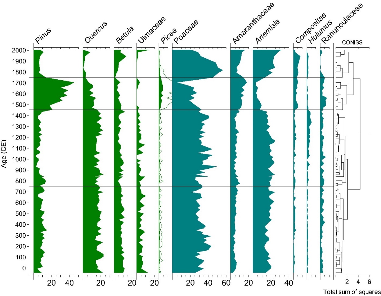
图1 囫囵淖尔湖HLNE20A岩心主要花粉百分比图(开放曲线为放大×5倍)。

图2 基于花粉数据和REVEALS模型,重建的囫囵淖尔湖的植被变化
根据花粉记录,过去2000年可划分为四个植被演变阶段(图1和2):
阶段 I (公元前40年 – 公元850年):以草原景观为主,混合部分林地。阶段 II (850 – 1450年):乔木花粉(尤其是松树)减少,表明森林覆盖度下降,人类活动(如农业开发)对植被的影响加剧。阶段 III (1450 – 1750年, 明至清初):松树花粉比例显著提升(从11%升至42.3%),表明当地森林植被大规模恢复。这与周边其他地区森林持续衰退的趋势形成鲜明对比。阶段 IV (1750年 – 现代):森林再次衰退,恢复到以草原为主的现代景观。
森林植被的恢复(以松树为代表)恰好发生在明朝中后期(1450-1750 CE),并且集中在有历史文献记载的造林区(如宣府、蓟州)。而此时周边未受政策保护的区域,森林仍在持续退化。同时该时期正处于全球性的小冰期,中国北方气候冷干,不利于森林扩张,这说明森林成分增加的主要原因是人为植树和保育。
利用对土壤侵蚀非常敏感的元素(如钛,Ti)作为指标,发现土壤侵蚀的强度与植被覆盖度密切相关。在森林覆盖度最低的时期,土壤侵蚀较为强烈。在植树造林期,土壤侵蚀强度降至过去2000年来的最低水平。

图3 囫囵淖尔湖流域土壤侵蚀强度及其可能影响因素。(a)囫囵淖尔湖clr(Ti);(b)基于REVEALS模型的囫囵淖尔流域树木植被重建,(c)HLNE20A岩心中花粉浓度,以及(d)囫囵淖尔湖的Humulus花粉百分比(本研究)。(e–g)中国北方地区农业活动的花粉指标:(e)山西公海的禾本科植物(CTP)+ Humulus + Fagopyrum(Xu等人,2017),(f)岭干海湖的CTP + Humulus百分比(Ren et al., 2024),(g)山西马营海湖的CTP + Humulus百分比(Ren et al.,2022)。
这项研究证明了中国在明代(约500年前)就已经成功地实施了大规模、有组织的造林工程。这项历史上的“生态修复”措施,源于国防和生存环境需求,但它确实取得了显著的生态效益——有效恢复了森林植被,并显著降低了土壤侵蚀。这一发现为当今全球生态恢复实践提供了一个宝贵的历史案例,丰富了历史时期人地关系的实证研究。
本研究以“Reforestation in northern China during the Ming Dynasty to counteract environmental degradation”为题发表在《Catena》上。兰州大学资源环境学院黄小忠教授为文章通讯作者,2021级博士生黄宠为第一作者。合作者包括西华师范大学张军副教授、内蒙古师范大学任秀秀博士、英国University of Reading杨洪教授,兰州大学博士后向丽雄、王涛、博士生Muhammad Farqan等。
该成果受国家自然科学基金(课题编号:41991251和42301170)等资助。
论文信息:
Huang, C., Huang, X.*, Zhang, J., Chen, Y., Deng J., Farqan M., Ren X., Xiang L., Wang T., Yang H., 2025. Reforestation in northern China during the Ming Dynasty to counteract environmental degradation. CATENA 260, 109473. https://doi.org/10.1016/j.catena.2025.109473.
相关文献:
Flenley, J.R., King, S.M., 1984. Late Quaternary pollen records from Easter Island. Nature,307, 47–50.
Xiaozhong Huang*, Xiuxiu Ren. 2025, Human impacts on mountain forest in China during the middle–late Holocene. PAGES magazine. 33(1):16-17
Xiuxiu Ren, Chong Huang, Zezhou Zhu, Ling Wang, Ning Wang, Xiaoyan Mu, Derui Luo, Jun Zhang, Lixiong Xiang, Xiaozhong Huang*, 2024. Anthropogenic forest degradation and its impact on soil erosion in the mountainous region of northern China. Catena 243,108217.
Ren, X., Huang, X.*, Huang, C., Wang, T., Shen, Z., Zhang, X., Ding, G., Ayyamperumal, R., Zhang, J., Chen, X., 2022. Effects of human activities on mountain forest in northern China during the middle Holocene. Quaternary Science Reviews. 288, 107580.
Huang, X. *, Ren, X., Chen, X., Zhang, J., Zhang, X., Shen, Z., Hu, Y., Chen, F. 2021. Anthropogenic mountain forest degradation and soil erosion recorded in the sediments of Mayinghai Lake in northern China. Catena. 207, 105597.
Huang, X.Z.*, Liu, S.S., Dong, G.H., Qiang, M.R., Zhao, Y., Chen, F.H. 2017. Early human impacts on vegetation on the northeastern Qinghai-Tibetan Plateau during the middle to late Holocene. Progress in Physical Geography: Earth and Environment. 41(3), 286-301.